移動版
電腦版首頁
手機版首頁
産品中心
公司産品
電源适配器
電池充電器
QC3.0/PD 電源
DC線材
MINI-ITX 電源
關於我們
公司實景
安規證書
聯系我們
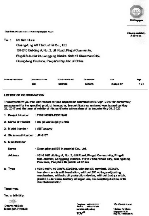
安規證書
廣東奧博特實業有限公司安規證書